• 您所在的位置:
  • 首頁
  • 走進興業
  • 興業公告
  • 公司公告
  • 正文
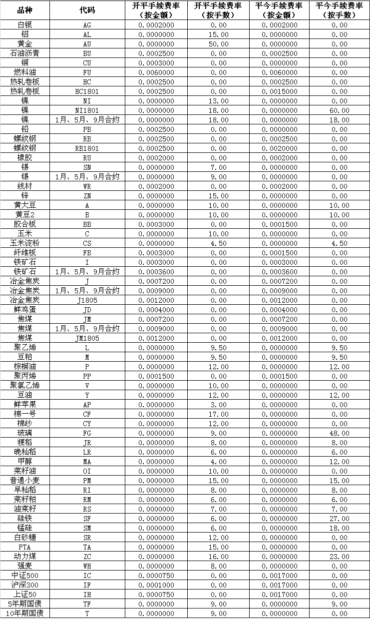
興業期貨有限公司手續費收取標準
時間:2017-12-29

手續費-1.png

手續費-2.png

 

上一篇:關于調整菜油期貨合約交易保證金比例的通知
下一篇:關于中金所升級技術系統前端風控功能的通知
關閉本頁 打印本頁